Ejercicios resueltos
Ejemplo 1:
El numero de tarros de cerveza pedidos en el Dick's Pub sigue una distribución de Poisson con promedio de 30 cervezas por hora.
1. Calcule la probabilidad de que se pidan exactamente 60 cervezas entre las 10 p.m. y las 12
de la noche.
2. Determine el promedio y la desviación estándar del número de cervezas pedidas entre las
9 p.m. y la 1 a.m.
3. Calcule la probabilidad de que el tiempo entre dos pedidos consecutivos sea entre 1 y 3
minutos.
Solución:
1. El número de cervezas pedido entre las 10 p.m. y las 12 de la noche sigue una distribución
de Poisson con parámetro 2(30) = 60. La probabilidad de que se pidan 60 cervezas entre
las 10 p.m. y la medianoche es:
2. λ = 30 cervezas por hora; t = 4 horas. Entonces, el número promedio de cervezas pedidas
entre las 9 p.m. y la 1 am es 4(30) = 120 cervezas. La desviación estándar del número de
cervezas pedido entre las 9 p.m. y la 1 a.m. es (120)1/2 = 10.95.
3. Sen X el tiempo en minutos entre pedidos sucesivos de cerveza. El tiempo promedio de
pedidos por minuto es exponencial con parámetro, o razón, 30/60 = .5 cervezas por minuto.
Entonces la función de densidad de probabilidad del tiempo ente pedidos de cerveza es:
Ejemplo 2:
A un cajero bancario o automático sólo llega un promedio de 10 vehículos por hora. Suponga que los tiempos promedio de servicio para cada cliente es 4 minutos, y que los tiempos entre llegadas y los de servicio son exponenciales Conteste las siguientes preguntas:
1. ¿Cuál es la probabilidad de que el cajero automático se encuentre vacío?
2. ¿Cuál es el número promedio de automóviles que esperan en la cola su turno? Se
considera que un vehículo que está ocupando el cajero automático, no está en la cola
esperando.
3. ¿Cuál es el tiempo promedio que un cliente pasa en el estacionamiento del banco,
incluyendo el tiempo en el servicio?
4. En promedio, ¿Cuántos clientes por hora serán atendidos por el cajero automático
Solución:
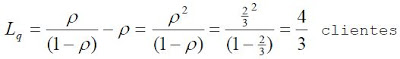
Suponemos que nos ocupa un sistema de colas M/M/1/DG/∞/∞. para el cual λ = 10 automóviles por hora y μ= 15 automóviles por hora. Entonces ρ = 2/3
1. Según la ecuación:
0π= 1-ρ = 1- 2/3= 1/3.
Entonces el cajero automático se encontrará sin clientes un promedio de la tercera parte
del tiempo.
2. Queremos conocer Lq:
3. Buscamos saber W.
Según la ecuación : W= L/λ
Así, W= 2/10 = 1/5 hora, unos 12 minutos.
4. Si el cajero automático estuviera ocupado siempre, podría atender un promedio de μ=15
clientes por hora. De la parte 1 sabemos que sólo está ocupado dos tercer partes de su
tiempo. Así, durante cada hora, el cajero atenderá aun promedio de 2/3 *15 = 10 cliente.
Debe ser así, porque el estado estable llegan 10 clientes cada hora y por lo tanto deben
salir 10 clientes del sistema cada hora.
Ejemplo 3:
En una peluquería hay un peluquero y un total de 10 asientos. Los tiempos de llegada tienen distribución exponenciales, y llega un promedio de 20 clientes posibles por hora. Los que llegan cuando la peluquería está llena no entran. El peluquero larda un promedio de 12 minutos en atender a cada cliente. Los tiempos de corte de pelo tienen distribución exponencial.
1. En promedio, ¿cuántos corles de pelo por hora hará el peluquero?
2. En promedio, ¿cuánto tiempo pasará un cliente en la peluquería cuando entra?
Solución
1. Una fracción 10π de las llegadas encuentra que está llena la peluquería. Por lo tanto,
entrará a ella un promedio de (1-10π)λ por hora. Todos los clientes que desean que se les
corle el cabello, y por lo tanto, el peluquero hará un promedio de (1-10π)λ cortes por hora.
En nuestro problema, c = 10, λ=20 clientes por hora y μ= 5 clientes /h. Entonces ρ= 20/5 = 4
Así, los cortes de pelo son en promedio 20(1 – ¾ ) = 5/h.
Esto significa que un promedio de 20 - 5 = 15 clientes posibles no entran cada hora.
Ejemplo 4:
Un banco tiene dos cajeros. Llegan al banco un promedio de 80 clientes por hora y esperan en una sola cola para que los atiendan. El tiempo promedio que se necesita para atender a un cliente es 1.2 minutos. Suponga que los tiempos entre llegadas y los de servicio son exponenciales. Calcule:
1. Número esperado de clientes en el banco.
2. Tiempo esperado que pasa un cliente en el banco.
3. La fracción del tiempo que determinado cajero esta desocupado.
Solución
1. Tenemos un sistema M/M/2/DG/∞/∞. con λ = 80 clientes/h y μ = 50 clientes/h. Así
y, por lo tanto, existe el estado estable.
Si λ ≥ 100, no existiría estado estable.
Entonces de la Ecuación:
L= 2.84+ 80/50 = 4.44 clientes.
2. Como W= λ/L:
W=4.44/80 = .055 horas = 3.3 minutos
3. Para calcular la fracción del tiempo que determinado cajero está desocupado, nótese que
esta desocupado durante lodo el tiempo que j = O, y la mitad del tiempo, por simetría, que
j=1.
La probabilidad que una ventanilla esté ociosa está dada por :








Comentarios
Publicar un comentario